- صفحه اصلی
- دانلود دیتاشیت
- دیتاشیت ADM803RAKSZ-REEL7
ADM803RAKSZ-REEL7 دیتاشیت
مشخصات دیتاشیت
| نام دیتاشیت | ADM803RAKSZ-REEL7 |
|---|---|
| حجم فایل | 86.118 کیلوبایت |
| نوع فایل | |
| تعداد صفحات | 11 |
دانلود دیتاشیت ADM803RAKSZ-REEL7 |
دانلود دیتاشیت |
|---|
سایر مستندات
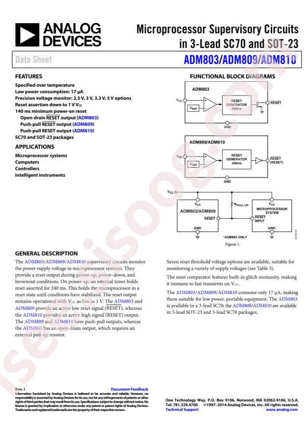
ADM803,809,810 11 pages
مشخصات فنی
- RoHS: true
- Category: Power Supply Chip/Monitors & Reset Circuits
- Datasheet: Analog Devices ADM803RAKSZ-REEL7
- Output Type: Open Drain
- Reset Timeout: 140ms
- Threshold Voltage: 2.63V
- Reset Active Level: Active Low
- Operating Temperature: -40°C~+125°C@(TA)
- Number of Voltages Monitored: 1
- Type of the Power Management Chip: Simple reset/Power-on reset
- Package: SC-70-3
- Manufacturer: Analog Devices
- Series: -
- Packaging: Cut Tape (CT)
- Part Status: Active
- Type: Simple Reset/Power-On Reset
- Output: Open Drain or Open Collector
- Reset: Active Low
- Voltage - Threshold: 2.63V
- Mounting Type: Surface Mount
- Package / Case: SC-70, SOT-323
- Supplier Device Package: SC-70-3
- Base Part Number: ADM803
- detail: Supervisor Open Drain or Open Collector 1 Channel SC-70-3
